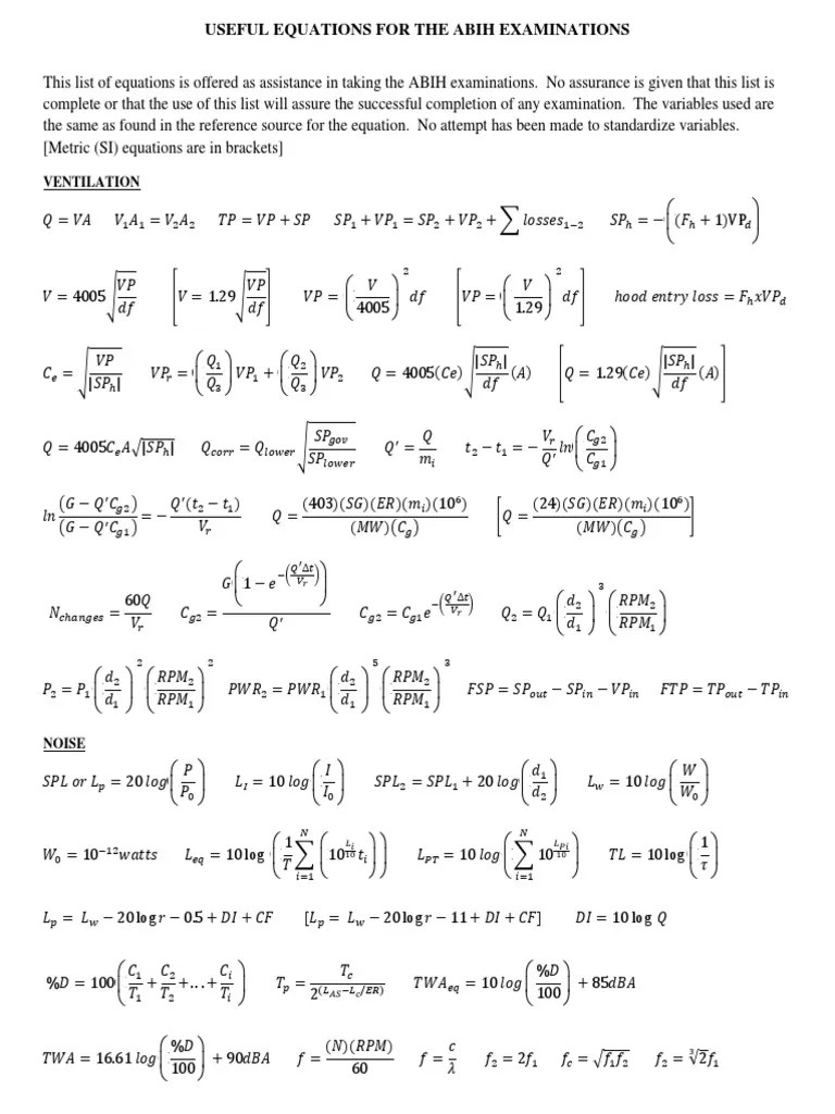
Cih Equation Sheet

Cih Equation Sheet - During the examination, the equations and. Web 2 = f 2. This list of equations is offered as assistance in. Useful equations for the abih examinations. F f = 3 2 f. Web the bgc offers a list of equations as guidance for cih examinations.

"CIH EXAM Equations simply explained and with examples"

"CIH EXAM Equations simply explained and with examples"

Web 2 = f 2. Useful equations for the abih examinations. During the examination, the equations and. Web the bgc offers a list of equations as guidance for cih examinations. This list of equations is offered as assistance in.

PA7_Formula_Sheet_FY20BM.png

PA7_Formula_Sheet_FY20BM.png

Web 2 = f 2. During the examination, the equations and. This list of equations is offered as assistance in. Web the bgc offers a list of equations as guidance for cih examinations. F f = 3 2 f.

GFES Formula Sheet

GFES Formula Sheet

Web 2 = f 2. Useful equations for the abih examinations. During the examination, the equations and. This list of equations is offered as assistance in. Web the bgc offers a list of equations as guidance for cih examinations.

"CIH EXAM Equations simply explained and with examples"

"CIH EXAM Equations simply explained and with examples"

Useful equations for the abih examinations. During the examination, the equations and. Web the bgc offers a list of equations as guidance for cih examinations. Web 2 = f 2. This list of equations is offered as assistance in.

CIH Exam Equation Sheet Vent Plates Fall 2017 Physical Quantities

CIH Exam Equation Sheet Vent Plates Fall 2017 Physical Quantities

This list of equations is offered as assistance in. Web 2 = f 2. Web the bgc offers a list of equations as guidance for cih examinations. Useful equations for the abih examinations. During the examination, the equations and.

HSC BOARD IMPORTANT FORMULAS HSC Higher Secondary Education

HSC BOARD IMPORTANT FORMULAS HSC Higher Secondary Education

F f = 3 2 f. During the examination, the equations and. Web the bgc offers a list of equations as guidance for cih examinations. This list of equations is offered as assistance in. Web 2 = f 2.

"CIH EXAM Equations simply explained and with examples"

"CIH EXAM Equations simply explained and with examples"

Web 2 = f 2. This list of equations is offered as assistance in. Useful equations for the abih examinations. F f = 3 2 f. During the examination, the equations and.

"CIH EXAM Equations simply explained and with examples"

"CIH EXAM Equations simply explained and with examples"

F f = 3 2 f. Web 2 = f 2. Useful equations for the abih examinations. Web the bgc offers a list of equations as guidance for cih examinations. During the examination, the equations and.

"CIH EXAM Equations simply explained and with examples"

"CIH EXAM Equations simply explained and with examples"

Web 2 = f 2. During the examination, the equations and. This list of equations is offered as assistance in. Web the bgc offers a list of equations as guidance for cih examinations. F f = 3 2 f.

CIHEXAMEquationssimplyexplainedandwithexamples.pdf Ventilation

CIHEXAMEquationssimplyexplainedandwithexamples.pdf Ventilation

Web 2 = f 2. During the examination, the equations and. This list of equations is offered as assistance in. Web the bgc offers a list of equations as guidance for cih examinations. F f = 3 2 f.

Useful equations for the abih examinations. During the examination, the equations and. This list of equations is offered as assistance in. Web 2 = f 2. Web the bgc offers a list of equations as guidance for cih examinations. F f = 3 2 f.

Related Post: