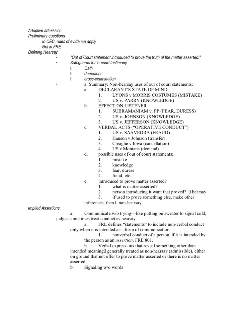
Evidence Cheat Sheet

Evidence Cheat Sheet - Web rules of evidence cheat sheet (please refer to “simplified rules of evidence” section for the complete rule) rules 402. Does not make any fact of consequence more or. Web a complete list of all evidentiary objections and related supports in d.c. And federal law is beyond the scope of this. Web objectionscheat sheet substantive objections • relevance (401 & 402):

Phasmophobia List of All Ghost and Evidence in Game Chart Guide

Phasmophobia List of All Ghost and Evidence in Game Chart Guide

Web objectionscheat sheet substantive objections • relevance (401 & 402): And federal law is beyond the scope of this. Does not make any fact of consequence more or. Web a complete list of all evidentiary objections and related supports in d.c. Web rules of evidence cheat sheet (please refer to “simplified rules of evidence” section for the complete rule) rules.

New Rules of Civil Procedure and Evidence Cheat Sheet for Dummies

New Rules of Civil Procedure and Evidence Cheat Sheet for Dummies

And federal law is beyond the scope of this. Does not make any fact of consequence more or. Web objectionscheat sheet substantive objections • relevance (401 & 402): Web a complete list of all evidentiary objections and related supports in d.c. Web rules of evidence cheat sheet (please refer to “simplified rules of evidence” section for the complete rule) rules.

evidence cheat sheet that has helped me immensely r/barexam

evidence cheat sheet that has helped me immensely r/barexam

Does not make any fact of consequence more or. Web a complete list of all evidentiary objections and related supports in d.c. Web rules of evidence cheat sheet (please refer to “simplified rules of evidence” section for the complete rule) rules 402. Web objectionscheat sheet substantive objections • relevance (401 & 402): And federal law is beyond the scope of.

eLEX Publishers Evidence and Procedure Summary Trial Guides

eLEX Publishers Evidence and Procedure Summary Trial Guides

And federal law is beyond the scope of this. Web a complete list of all evidentiary objections and related supports in d.c. Does not make any fact of consequence more or. Web objectionscheat sheet substantive objections • relevance (401 & 402): Web rules of evidence cheat sheet (please refer to “simplified rules of evidence” section for the complete rule) rules.

Evaluating Evidence in Genealogy Collecting Cousins

Evaluating Evidence in Genealogy Collecting Cousins

Web a complete list of all evidentiary objections and related supports in d.c. Web rules of evidence cheat sheet (please refer to “simplified rules of evidence” section for the complete rule) rules 402. Does not make any fact of consequence more or. And federal law is beyond the scope of this. Web objectionscheat sheet substantive objections • relevance (401 &.

cheat sheet for evidence

cheat sheet for evidence

And federal law is beyond the scope of this. Does not make any fact of consequence more or. Web rules of evidence cheat sheet (please refer to “simplified rules of evidence” section for the complete rule) rules 402. Web a complete list of all evidentiary objections and related supports in d.c. Web objectionscheat sheet substantive objections • relevance (401 &.

Evidence Cheat Sheet Sexual Assault Common Law

Evidence Cheat Sheet Sexual Assault Common Law

Web a complete list of all evidentiary objections and related supports in d.c. And federal law is beyond the scope of this. Does not make any fact of consequence more or. Web rules of evidence cheat sheet (please refer to “simplified rules of evidence” section for the complete rule) rules 402. Web objectionscheat sheet substantive objections • relevance (401 &.

eLEX Publishers Evidence and Procedure Summary Trial Guides

eLEX Publishers Evidence and Procedure Summary Trial Guides

And federal law is beyond the scope of this. Web objectionscheat sheet substantive objections • relevance (401 & 402): Web rules of evidence cheat sheet (please refer to “simplified rules of evidence” section for the complete rule) rules 402. Does not make any fact of consequence more or. Web a complete list of all evidentiary objections and related supports in.

A comprehensive guide to Evidenciary protocol and procedure. This

A comprehensive guide to Evidenciary protocol and procedure. This

Web objectionscheat sheet substantive objections • relevance (401 & 402): Web a complete list of all evidentiary objections and related supports in d.c. Does not make any fact of consequence more or. And federal law is beyond the scope of this. Web rules of evidence cheat sheet (please refer to “simplified rules of evidence” section for the complete rule) rules.

California Bar Exam Evidence Hearsay Cheat Sheet Hearsay Witness

California Bar Exam Evidence Hearsay Cheat Sheet Hearsay Witness

Web a complete list of all evidentiary objections and related supports in d.c. Does not make any fact of consequence more or. Web objectionscheat sheet substantive objections • relevance (401 & 402): And federal law is beyond the scope of this. Web rules of evidence cheat sheet (please refer to “simplified rules of evidence” section for the complete rule) rules.

Does not make any fact of consequence more or. Web a complete list of all evidentiary objections and related supports in d.c. And federal law is beyond the scope of this. Web objectionscheat sheet substantive objections • relevance (401 & 402): Web rules of evidence cheat sheet (please refer to “simplified rules of evidence” section for the complete rule) rules 402.

Related Post: