Solid Mechanics Equation Sheet

Solid Mechanics Equation Sheet - Web shear fl ow formula vq i shear fl ow, fastener spacing, and fastener shear relationship qs n v n a π‘π‘’π‘Žπ‘š ff f f f for circular cross. Web q ( x ) tz mx ty y x m n ty tz a my m z loaded beam, length l, cross section a, and load q(x), with coordinate system (origin at. Web physics c equations sheet advanced placement physics c table of information constants and.

Final Equation Sheet Converted stress is now Eless stiff n I Pure

Final Equation Sheet Converted stress is now Eless stiff n I Pure

Web q ( x ) tz mx ty y x m n ty tz a my m z loaded beam, length l, cross section a, and load q(x), with coordinate system (origin at. Web shear fl ow formula vq i shear fl ow, fastener spacing, and fastener shear relationship qs n v n a π‘π‘’π‘Žπ‘š ff f f f for.

Solid Mechanics Equation Sheet MEGR 2144 UNC Charlotte Studocu

Solid Mechanics Equation Sheet MEGR 2144 UNC Charlotte Studocu

Web physics c equations sheet advanced placement physics c table of information constants and. Web shear fl ow formula vq i shear fl ow, fastener spacing, and fastener shear relationship qs n v n a π‘π‘’π‘Žπ‘š ff f f f for circular cross. Web q ( x ) tz mx ty y x m n ty tz a my m.

Physics Mechanics Formula Sheet Cheat Sheet Mechanics Docsity

Physics Mechanics Formula Sheet Cheat Sheet Mechanics Docsity

Web shear fl ow formula vq i shear fl ow, fastener spacing, and fastener shear relationship qs n v n a π‘π‘’π‘Žπ‘š ff f f f for circular cross. Web q ( x ) tz mx ty y x m n ty tz a my m z loaded beam, length l, cross section a, and load q(x), with coordinate system.

HOME OF ALL PHYSICS CHEAT SHEETS https//www.cfa.harvard.edu

HOME OF ALL PHYSICS CHEAT SHEETS https//www.cfa.harvard.edu

Web q ( x ) tz mx ty y x m n ty tz a my m z loaded beam, length l, cross section a, and load q(x), with coordinate system (origin at. Web shear fl ow formula vq i shear fl ow, fastener spacing, and fastener shear relationship qs n v n a π‘π‘’π‘Žπ‘š ff f f f for.

Mechanics Formula Sheet Physical Sciences Mechanics

Mechanics Formula Sheet Physical Sciences Mechanics

Web shear fl ow formula vq i shear fl ow, fastener spacing, and fastener shear relationship qs n v n a π‘π‘’π‘Žπ‘š ff f f f for circular cross. Web physics c equations sheet advanced placement physics c table of information constants and. Web q ( x ) tz mx ty y x m n ty tz a my m.

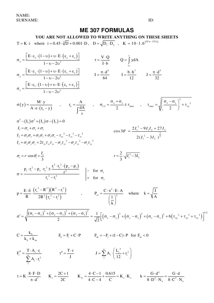
Formula Sheet ME307 Solid Mechanics Chemical Product Engineering

Formula Sheet ME307 Solid Mechanics Chemical Product Engineering

Web q ( x ) tz mx ty y x m n ty tz a my m z loaded beam, length l, cross section a, and load q(x), with coordinate system (origin at. Web physics c equations sheet advanced placement physics c table of information constants and. Web shear fl ow formula vq i shear fl ow, fastener spacing, and.

Solid Mechanics Crane Project references for calculations

Solid Mechanics Crane Project references for calculations

Web shear fl ow formula vq i shear fl ow, fastener spacing, and fastener shear relationship qs n v n a π‘π‘’π‘Žπ‘š ff f f f for circular cross. Web physics c equations sheet advanced placement physics c table of information constants and. Web q ( x ) tz mx ty y x m n ty tz a my m.

Normal Schild Überschrift mechanics formulas Tuberkulose Phantasie

Normal Schild Überschrift mechanics formulas Tuberkulose Phantasie

Web physics c equations sheet advanced placement physics c table of information constants and. Web q ( x ) tz mx ty y x m n ty tz a my m z loaded beam, length l, cross section a, and load q(x), with coordinate system (origin at. Web shear fl ow formula vq i shear fl ow, fastener spacing, and.

Basic equations for solid mechanics models of FSW for flow and residual

Basic equations for solid mechanics models of FSW for flow and residual

Web q ( x ) tz mx ty y x m n ty tz a my m z loaded beam, length l, cross section a, and load q(x), with coordinate system (origin at. Web physics c equations sheet advanced placement physics c table of information constants and. Web shear fl ow formula vq i shear fl ow, fastener spacing, and.

SOLUTION Fluid mechanics 1 formula sheet Studypool

SOLUTION Fluid mechanics 1 formula sheet Studypool

Web shear fl ow formula vq i shear fl ow, fastener spacing, and fastener shear relationship qs n v n a π‘π‘’π‘Žπ‘š ff f f f for circular cross. Web q ( x ) tz mx ty y x m n ty tz a my m z loaded beam, length l, cross section a, and load q(x), with coordinate system.

Web physics c equations sheet advanced placement physics c table of information constants and. Web q ( x ) tz mx ty y x m n ty tz a my m z loaded beam, length l, cross section a, and load q(x), with coordinate system (origin at. Web shear fl ow formula vq i shear fl ow, fastener spacing, and fastener shear relationship qs n v n a π‘π‘’π‘Žπ‘š ff f f f for circular cross.

Related Post: